2026년 공무원 봉급표, 2026 군인 월급 총정리
2026년 공무원 봉급 인상은 단순한 숫자 조정 이상의 의미를 갖습니다. 최근 수년간 민간 임금 상승 속도를 따라가지 못했던 공무원 보수 체계가 일정 부분 조정되면서, 공직 사회 전반의 사기 회복과 인재 유입이라는 정책적 목표가 동시에 반영되었기 때문입니다. 2026년도 공무원 보수는 전년 대비 평균 3.5% 인상으로 결정되었으며, 이는 2017년 이후 약 9년 만에 가장 높은 인상률입니다. 물가 상승과 생활비 부담이 누적된 상황에서 이번 조정은 체감 효과를 기대하게 만드는 변화로 평가됩니다.



다만 여전히 민간 대비 보수 수준, 직렬 간 격차, 수당 중심 구조 등 구조적 과제가 남아 있어 단기 성과와 중장기 개편을 함께 바라볼 필요가 있습니다.
2026년 공무원 봉급표 개요



2026년 봉급 인상은 예산안 심의 과정에서 확정되었으며, 최근 몇 년간 민간 임금과의 격차가 확대된 점을 고려한 결과로 해석됩니다. 과거에는 민간 대비 공무원 보수가 약 90% 수준을 유지했으나, 2023년 기준으로는 83.9%까지 낮아진 것으로 분석되었습니다. 이번 인상률 3.5%는 공무원노조가 요구한 수준에는 못 미치지만, 정부가 향후 지속적인 보수 개편을 예고했다는 점에서 방향성 측면의 의미가 큽니다.

특히 저연차 공무원과 현장직 중심의 보완 인상 가능성이 함께 거론되고 있어, 실제 체감 폭은 직급과 직렬에 따라 달라질 수 있습니다.
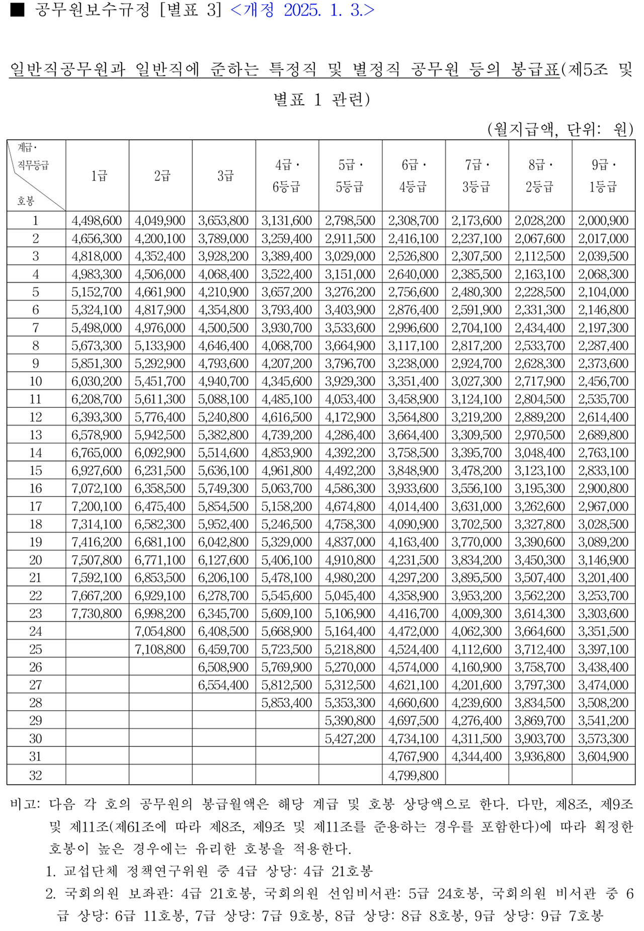
일반직 2026년 공무원 봉급표
2026 일반직 공무원은 1급부터 9급까지 직급 체계로 구성되며, 신규 임용자는 통상 9급 1호봉에서 시작합니다. 2026년 기준으로 예상되는 일반직 1호봉 기본급은 다음과 같이 정리할 수 있습니다.

- 1급: 4,656,100원
- 2급: 4,191,600원
- 3급: 3,781,700원
- 4급: 3,241,200원
- 5급: 2,896,400원
- 6급: 2,389,500원
- 7급: 2,249,700원
- 8급: 2,099,200원
- 9급: 2,070,900원
9급 1호봉의 경우 기본급만 보면 여전히 낮아 보일 수 있으나, 여기에 각종 수당이 더해지면서 실수령액은 약 240만 원에서 260만 원 수준으로 형성됩니다. 실제 조직 내 인력 분포를 보면 6급과 7급이 가장 큰 비중을 차지하며, 이 구간의 보수 개선이 조직 안정성에 중요한 영향을 미칩니다. 고위직인 1급에서 3급은 기관장과 국장급에 해당하며, 승진까지 소요되는 기간이 길어 장기 근속자의 상징적 보상 성격이 강합니다.



2026년 교사 호봉표와 교육공무원 보수
교육공무원은 일반직과 달리 계급이 아닌 호봉 체계를 적용받습니다. 유치원, 초등학교, 중학교, 고등학교 교사 모두 동일한 교육공무원 봉급표를 사용하며, 근속연수에 따른 급여 상승 폭이 비교적 안정적으로 설계되어 있다는 특징이 있습니다.



2026년 기준 교원 호봉별 기본급 예시는 다음과 같습니다.

- 1호봉: 1,982,100원
- 10호봉: 2,471,400원
- 20호봉: 3,481,000원
- 30호봉: 4,826,800원
- 40호봉: 6,205,700원



대부분의 교사는 임용 초기 1호봉에서 4호봉 사이에서 출발하며, 정년까지 근무할 경우 30호봉 이상 도달하는 사례가 일반적입니다. 기간제 교사 역시 동일한 호봉표를 기준으로 급여가 산정되며, 시간제 교사의 경우 근무 시간 비율에 따라 월 급여가 계산됩니다. 교육공무원의 경우 방학 기간 급여 구조와 각종 수당이 실수령액에 큰 영향을 미치는 요소로 작용합니다.



2026년 군인 월급 체계
군인의 보수 체계는 장성, 장교, 준사관, 부사관으로 구분되며, 계급 상승에 따른 급여 증가 폭이 비교적 명확합니다. 2026년 장교 1호봉 기준 기본급은 다음과 같습니다.

- 소장: 6,099,000원
- 준장: 5,753,700원
- 대령: 4,671,200원
- 중령: 4,105,800원
- 소령: 3,382,700원
- 대위: 2,805,000원
- 중위: 2,239,600원
- 소위: 2,087,900원
부사관 계열의 1호봉 기본급은 원사 3,568,100원, 상사 2,468,000원, 중사 2,118,000원, 하사 2,070,900원 수준으로 정리됩니다. 최근에는 병사 월급 인상 정책이 병행되면서 병장 기준 급여가 단계적으로 상승하고 있으며, 복무 여건 개선과 함께 군 전체 보수 체계에 대한 관심도 높아지고 있습니다.



경찰·소방공무원 봉급 구조
경찰과 소방공무원은 일반직과 유사한 기본급 체계를 사용하지만, 위험수당과 시간외근무수당 등 특수 수당 비중이 높아 실수령액에서 차이가 발생합니다. 2026년 경찰 계급별 1호봉 기준 기본급은 순경 2,070,900원, 경장 2,150,800원, 경사 2,400,200원, 경위 2,434,700원, 경정 3,619,000원, 총경 4,167,700원, 치안감 4,563,500원, 치안정감 4,905,100원 수준입니다.



소방공무원 역시 소방사부터 소방감까지 대응 계급 구조를 가지며 동일 봉급표가 적용되지만, 위험근무수당은 소방 분야가 상대적으로 높게 책정되는 경향이 있습니다.

공무원 실수령액과 수당 구조
공무원 급여는 기본급에 다양한 수당이 더해져 실수령액이 결정됩니다. 대표적인 수당 항목은 다음과 같습니다.



- 정근수당
- 명절휴가비
- 가족수당
- 직책보조비
- 시간외근무수당
- 위험근무수당
예를 들어 9급 1호봉 공무원의 기본급이 2,070,900원일 경우, 정근수당과 명절휴가비, 가족수당 등을 포함하면 월 실수령액은 약 250만 원 내외로 형성됩니다. 다만 근무 부서, 시간외근무 여부, 지역 수당 등에 따라 개인별 차이는 상당히 크게 나타납니다.



결론
2026년 공무원 봉급 인상은 실질임금 회복을 위한 첫걸음이라는 점에서 의미가 있습니다. 그러나 직렬 간 격차, 수당 의존 구조, 퇴직 이후 소득 보장과 연계된 연금 문제 등 구조적 과제는 여전히 남아 있습니다.



특히 하위직과 저연차 공무원에 대한 체감 인상을 강화하고, 기본급 중심의 보수 체계로 전환하는 방향이 장기적으로 필요합니다. 이번 인상이 단기적인 조정에 그치지 않고 공직 사회 전반의 경쟁력과 지속 가능성을 높이는 계기가 될 수 있을지, 향후 보수 개편 흐름을 지속적으로 지켜볼 필요가 있습니다.



'세금과 경제' 카테고리의 다른 글
| 제주 수학여행 사고 | 서귀포 호텔 8층 남고생 추락 사망 사고 (0) | 2025.12.24 |
|---|---|
| 서울 시내버스 파업 | 2026년 1월 대란 예고, 통상임금 갈등 (0) | 2025.12.24 |
| 2026년 주거급여 신청자격, 신청방법, 지원금액 총정리 (0) | 2025.12.24 |
| 삼성디스플레이 공장 사고 60대 근로자 사망 (0) | 2025.12.23 |
| 공무원 연금관리공단 학자금 대출 상환 이자 정리 (0) | 2025.12.23 |